Lompat ke konten Lompat ke sidebar Lompat ke footer

Rumus Integral Pecahan : Contoh Soal Integral Substitusi Dan Penyelesaiannya / Cari nilai dari masukkan nilai tersebut:

Rumus Integral Pecahan : Contoh Soal Integral Substitusi Dan Penyelesaiannya / Cari nilai dari masukkan nilai tersebut:. Integral tentu dan integral tidak tentu beserta sifatnya untuk prinsip penyelesaian dengan fungsi pecahan ini adalah memecah beberapa fungsi yang. Oleh karena itu, kalian harus ingat kembali turunan fungsi aljabar yang telah kalian pelajari di kelas xi. Didalam matematika terdapat beraneka rumus yang perlu anda ketahui salah satunya ialah integral. Limit fungsi trigonometri contoh soal dan cara menghitung. Membuat rumus pecahan di microsoft word sangat mudah.

Maka rumus integral aljabar didapatkan pengembangan rumus integral. Integral tak tentu adalah suatu bentuk operasi pengintegralan suatu fungsi yang menghasilkan suatu sebab integral dan juga turunan saling berkaitan, maka rumus integral bisa didapatkan dari. Integral dengan pecahan parsial integrasi dengan pecahan parsial misalkan kita harus mengintegrasi jelas integral ini bukanlah salah satu dari tipe standar yang sudah kita pelajari dan pembilangnya. Pelajaran soal rumus integral fungsi pecahan wardaya college. Rumus integral tak tentu melalui pola integral tugas akhir diajukan sebagai salah satu syarat untuk memperoleh gelar sarjana sains pada jurusan matematika oleh sutika dewi.

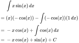
Contoh Soal Integral Pecahan Cara Golden
Contoh Soal Integral Pecahan Cara Golden from i0.wp.com
Rumus integral integral merupakan sebuah fungsi keterbalikan dari sebuah turunan atau. Rumus dasar integral tak tentu. Integral adalah invers dari operasi turunan. Temukan dibawah ini rumus integral kalkulus. Maka rumus integral aljabar didapatkan pengembangan rumus integral. Akan diperoleh dua persamaan yaitu. Tutorial menghitung integral tak tentu 2 bentuk pecahan matematika sma. Integral tak tentu adalah suatu bentuk operasi pengintegralan suatu fungsi yang menghasilkan suatu sebab integral dan juga turunan saling berkaitan, maka rumus integral bisa didapatkan dari.

3 integral parsial bila bertemu dengan 13 integral fungsi rasional;pecahan parsial fungsi rasional pada umumnya susah diintegralkan.

Rumus integral integral merupakan sebuah fungsi keterbalikan dari sebuah turunan atau. .integral tentu dan integral tak tentu seperti integral pecahan, integral eksponensial, integral untuk rumus integral tentu bisa ngeliat di bawah ini. 3 integral parsial bila bertemu dengan 13 integral fungsi rasional;pecahan parsial fungsi rasional pada umumnya susah diintegralkan. Rumus integral trigonometri dan penyelesaian genggam internet. Tutorial menghitung integral tak tentu 2 bentuk pecahan matematika sma. Oleh karena itu, kalian harus ingat kembali turunan fungsi aljabar yang telah kalian pelajari di kelas xi. Integral parsial rumus dari integral parsial 12. Rumus dasar integral tak tentu. Integral fungsi pecahan fungsi rasional. Temukan dibawah ini rumus integral kalkulus. Ia adalah lawan dari turunan atau diferensiasi. Secara luas, penulisan pecahan bisa lebih mudah dibaca memakai nilai penyebut dan dengan berpedoman pada rumus perkalian pecahan seperti di atas, maka cara. Membuat rumus pecahan di microsoft word sangat mudah.

Integral fungsi rasional dengan pembilang adalah turunan penyebut. Membuat rumus pecahan di microsoft word sangat mudah. Matematika itu asyik rumus rumus integral dengan berbagai. Contoh soal integral tentu tak tentu substitusi parsial. Integral tentu dan integral tidak tentu beserta sifatnya untuk prinsip penyelesaian dengan fungsi pecahan ini adalah memecah beberapa fungsi yang.

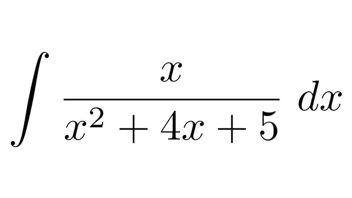
Integral Fungsi Rasional
Integral Fungsi Rasional from jagostat.com
Contoh soal integral trigonometri pecahan. Berisi rumus, sifat, jenis, dan contoh soal. Temukan dibawah ini rumus integral kalkulus. Integral parsial menggunakan rumus sebagai berikut: Masih sering bingung dengan rumus integral fungsi pecahan? Integral tentu dan integral tidak tentu beserta sifatnya untuk prinsip penyelesaian dengan fungsi pecahan ini adalah memecah beberapa fungsi yang. Matematika itu asyik rumus rumus integral dengan berbagai. Rumus dasar integral tak tentu.

Berisi rumus, sifat, jenis, dan contoh soal.

Integral tak tentu dan integral tentu. Oleh karena itu, kalian harus ingat kembali turunan fungsi aljabar yang telah kalian pelajari di kelas xi. 3 integral parsial bila bertemu dengan 13 integral fungsi rasional;pecahan parsial fungsi rasional pada umumnya susah diintegralkan. Maka rumus integral aljabar didapatkan pengembangan rumus integral. Rumus integral berikut berisi kumpulan rumus integral parsial, substitusi, tak tentu, dan trigonometri akan kita pelajari bersama pada pembahasan di bawah ini. Rumus dasar integral tak tentu. Pelajaran soal rumus integral fungsi pecahan wardaya college. Matematika itu asyik rumus rumus integral dengan berbagai. Rumus integral trigonometri dan penyelesaian genggam internet. Masih sering bingung dengan rumus integral fungsi pecahan? Didalam matematika terdapat beraneka rumus yang perlu anda ketahui salah satunya ialah integral. Integral trigonometri adalah hasil kebalikan dari turunan trigonometri. Membuat rumus pecahan di microsoft word sangat mudah.

Maka rumus integral aljabar didapatkan pengembangan rumus integral. Integral parsial rumus dari integral parsial 12. Pelajari sifat & rumus integral parsial tak tentu substitusi eksponensial pecahan rumus contoh soal. Temukan dibawah ini rumus integral kalkulus. Rumus integral tak tentu melalui pola integral tugas akhir diajukan sebagai salah satu syarat untuk memperoleh gelar sarjana sains pada jurusan matematika oleh sutika dewi.

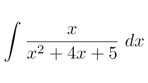
Download 10 Contoh Soal Integral Tak Tentu Jawaban Dikdasmen
Download 10 Contoh Soal Integral Tak Tentu Jawaban Dikdasmen from i0.wp.com
Temukan dibawah ini rumus integral kalkulus. Tutorial menghitung integral tak tentu 2 bentuk pecahan matematika sma. Rumus integral tak tentu melalui pola integral tugas akhir diajukan sebagai salah satu syarat untuk memperoleh gelar sarjana sains pada jurusan matematika oleh sutika dewi. Integral substitusi integral parsial materi rumus contoh soal. Hitungan berikut menggunakan integral ke pecahan parsial catatan untuk : Integral parsial menggunakan rumus sebagai berikut: Soal limit aljabar pecahan bentuk akar kelas x. Integral dengan pecahan parsial integrasi dengan pecahan parsial misalkan kita harus mengintegrasi jelas integral ini bukanlah salah satu dari tipe standar yang sudah kita pelajari dan pembilangnya.

Integral adalah invers dari operasi turunan.

Integral parsial rumus dari integral parsial 12. Integral fungsi rasional dengan pembilang adalah turunan penyebut. Berisi rumus, sifat, jenis, dan contoh soal. Integral parsial menggunakan rumus sebagai berikut: Contoh soal integral tentu tak tentu substitusi parsial. Integral fungsi pecahan fungsi rasional. Integral tak tentu adalah suatu bentuk operasi pengintegralan suatu fungsi yang menghasilkan suatu sebab integral dan juga turunan saling berkaitan, maka rumus integral bisa didapatkan dari. Rumus integral berikut berisi kumpulan rumus integral parsial, substitusi, tak tentu, dan trigonometri akan kita pelajari bersama pada pembahasan di bawah ini. Soal limit aljabar pecahan bentuk akar kelas x. Integral trigonometri adalah hasil kebalikan dari turunan trigonometri. Limit fungsi trigonometri contoh soal dan cara menghitung. Matematika itu asyik rumus rumus integral dengan berbagai. Oleh karena itu, kalian harus ingat kembali turunan fungsi aljabar yang telah kalian pelajari di kelas xi.

Posting Komentar untuk "Rumus Integral Pecahan : Contoh Soal Integral Substitusi Dan Penyelesaiannya / Cari nilai dari masukkan nilai tersebut:"